[니트코드 Blind 75] Linked List

October 17, 2023

1. Reverse Linked List

Reverse Linked List - LeetCode

연결 리스트의 순서를 뒤집으면 되는 문제

next 포인터를 반대 방향으로 돌리면 된다.

  • 코드

    /**
     * Definition for singly-linked list.
     * function ListNode(val, next) {
     *     this.val = (val===undefined ? 0 : val)
     *     this.next = (next===undefined ? null : next)
     * }
     */
    /**
     * @param {ListNode} head
     * @return {ListNode}
     */
    var reverseList = function (head) {
      let [prev, curr] = [null, head];
    
      while (curr) {
        next = curr.next;
        curr.next = prev;
        prev = curr;
        curr = next;
      }
    
      return prev;
    };

2. Merge Two Sorted Lists

Merge Two Sorted Lists - LeetCode

두 정렬된 리스트를 하나로 합치는 문제

각 리스트의 노드를 하나씩 비교하며 작은 것을 앞에 붙이면 된다.

  • 코드

    /**
     * Definition for singly-linked list.
     * function ListNode(val, next) {
     *     this.val = (val===undefined ? 0 : val)
     *     this.next = (next===undefined ? null : next)
     * }
     */
    /**
     * @param {ListNode} list1
     * @param {ListNode} list2
     * @return {ListNode}
     */
    var mergeTwoLists = function (list1, list2) {
      let dummy = new ListNode();
      let tail = dummy;
    
      while (list1 && list2) {
        if (list1.val <= list2.val) {
          tail.next = list1;
          list1 = list1.next;
        } else {
          tail.next = list2;
          list2 = list2.next;
        }
        tail = tail.next;
      }
    
      if (list1) {
        tail.next = list1;
      }
      if (list2) {
        tail.next = list2;
      }
    
      return dummy.next;
    };

3. Linked List Cycle

Linked List Cycle - LeetCode

연결 리스트에 사이클이 존재하면 true, 존재하지 않으면 false를 반환하는 문제

사이클이 있는지 확인하기 위해 두 가지 방법을 사용할 수 있다.

  • Set을 이용하여 노드의 방문 여부를 확인하는 방법

  • 플로이드의 토끼와 거북이 알고리즘(Floyd's Tortoise & Hare Algorithm)을 이용하는 방법

    • 하나씩 움직이는 slow 포인터와 두개씩 움직이는 fast 포인터가 같은 위치에서 만나면 사이클 존재
  • 코드 (Set을 이용한 방법)

    /**
     * Definition for singly-linked list.
     * function ListNode(val) {
     *     this.val = val;
     *     this.next = null;
     * }
     */
    
    /**
     * @param {ListNode} head
     * @return {boolean}
     */
    var hasCycle = function (head) {
      let set = new Set();
    
      while (head) {
        if (set.has(head)) {
          return true;
        }
        set.add(head);
        head = head.next;
      }
    
      return false;
    };
  • 코드 (Floyd's Tortoise & Hare Algorithm)

    /**
     * Definition for singly-linked list.
     * function ListNode(val) {
     *     this.val = val;
     *     this.next = null;
     * }
     */
    
    /**
     * @param {ListNode} head
     * @return {boolean}
     */
    var hasCycle = function (head) {
      let [s, f] = [head, head];
    
      while (f && f.next) {
        s = s.next;
        f = f.next.next;
        if (s === f) {
          return true;
        }
      }
    
      return false;
    };

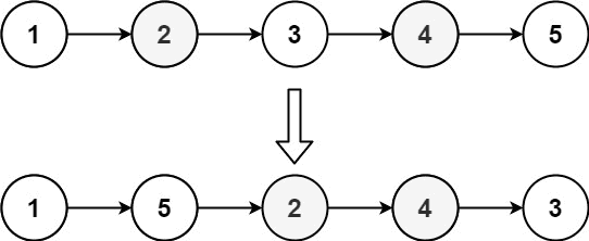
4. Reorder List

Reorder List - LeetCode

첫 번째 노드와 마지막 노드부터 번갈아가며 바꾸어 새로운 리스트를 만드는 문제

Untitled

  • 리스트를 절반으로 나눈다.

    • slow, fast 포인터를 통해 반으로 나눌 수 있다.
    • fast 포인터는 두개씩 움직이므로 fast 포인터가 끝에 도달했을 때 slow 포인터의 위치가 절반의 위치이다.
  • 그리고 첫번째 리스트는 처음부터, 두번째 리스트는 끝에서부터 이어붙인다.

  • 마지막 노드는 next를 null로 지정한다.

  • 코드

    /**
     * Definition for singly-linked list.
     * function ListNode(val, next) {
     *     this.val = (val===undefined ? 0 : val)
     *     this.next = (next===undefined ? null : next)
     * }
     */
    /**
     * @param {ListNode} head
     * @return {void} Do not return anything, modify head in-place instead.
     */
    var reorderList = function (head) {
      let [slow, fast] = [head, head.next];
    
      while (fast && fast.next) {
        slow = slow.next;
        fast = fast.next.next;
      }
    
      // divide list
      let second = slow.next;
      slow.next = null;
    
      // reverse second list
      let prev = null;
      while (second) {
        let temp = second.next;
        second.next = prev;
        prev = second;
        second = temp;
      }
    
      // merge first & second list
      let first = head;
      second = prev;
      while (second) {
        let [temp1, temp2] = [first.next, second.next];
        first.next = second;
        second.next = temp1;
        first = temp1;
        second = temp2;
      }
    };

5. Remove Nth Node From End of List

Remove Nth Node From End of List - LeetCode

끝에서 N번째 노드를 삭제하는 문제

  • 두 개의 포인터를 사용하는데 L 포인터와 R 포인터 사이의 간격이 N이 되도록 한다.
  • R 포인터가 리스트의 끝(NULL)에 도달했을 때 L 포인터의 위치가 삭제할 노드의 위치가 된다.

Untitled

  • 그러나 ‘4’ 노드를 삭제하기 위해서는 그 이전의 노드 ‘3’을 알고 있어야 하므로 편의상 리스트의 헤드 앞에 더미 노드를 붙여 L 포인터가 그 지점부터 시작할 수 있도록 한다. (R의 위치는 그대로 둔다.)

Untitled

  • L 포인터가 ‘3’에 위치해 있는 상태에서 ‘5’에 연결하면 ‘4’가 삭제된다.

  • dummy.next를 반환한다.

  • 코드

    /**
     * Definition for singly-linked list.
     * function ListNode(val, next) {
     *     this.val = (val===undefined ? 0 : val)
     *     this.next = (next===undefined ? null : next)
     * }
     */
    /**
     * @param {ListNode} head
     * @param {number} n
     * @return {ListNode}
     */
    var removeNthFromEnd = function (head, n) {
      let dummy = new ListNode();
      dummy.next = head;
      let [l, r] = [dummy, head];
      for (let i = 0; i < n; i++) {
        r = r.next;
      }
    
      while (r) {
        l = l.next;
        r = r.next;
      }
      l.next = l.next.next;
    
      return dummy.next;
    };

Profile picture

김미소 Miso Kim
Junior frontend developer
Github